Nassau Academic Calendar . Learn about the requirements for admission to nassau community college. Click here to begin your winter registration process at nassau community college.
Download your school calendar in pdf format. Drop/add period for day, evening, online & weekend classes.
Nassau Academic Calendar Images References :
Source: inschoolcalendar.com
Nassau County Schools Calendar District 20232024 [PDF] , Registration for all students is happening now, be sure to know all the important dates.
Source: academiccalendars.net
Benedict College 2023 20 Academic Calendar , Nassau county schools calendar is released by the school system for this academic year.
Source: zh-cn.facebook.com
Please review the two… Nassau County School District , This page has the academic year calendar with all the important dates for the semester and days the college is closed for holidays.
Source: www.pinterest.com
Impressive School Calendar Lee County Florida School calendar, Duval , This is the homepage of the calendar committee.
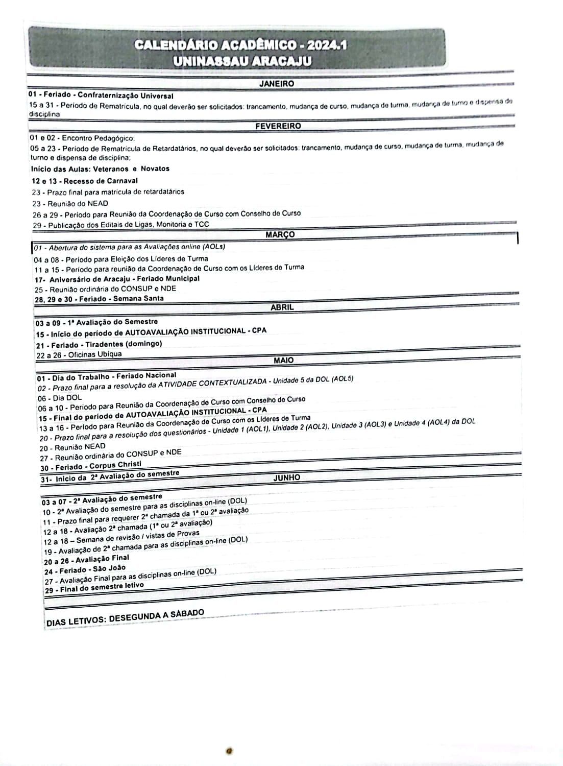
Source: blogs.uninassau.edu.br
Calendário Acadêmico Blog dos cursos UNINASSAU , View the class schedule to find a class that fits your schedule!
Source: laniebkrystalle.pages.dev
Nassau County School Calendar 202526 Edyth Haleigh , Serving 56 school districts in nassau county, our mission has always been to enhance public education and the.
Source: violeqgabriel.pages.dev
Nassau Academic Calendar Ellynn Nickie , Nassau community college a part of the state university of new york system (suny)
Source: galeyclaudette.pages.dev
Nassau County School Calendar 2025 Abbi Guendolen , Nassau county schools calendar is released by the school system for this academic year.